《Rocket Cat》Momentum Cats and the Icy Menace
Advertisement
Cresting a line of hills, the sun dawned over a snow covered valley. Dotted throughout were windmills slowly rotating in the cold morning breeze. The only other movement came from two cats walking along a snow packed road.
The larger feline walks briskly carrying a large backpack with excitement evident in each step. Behind her trudged a small kitten. It’s none other than our intrepid feline travelers, Henri and Cassie, who are spending this winter’s day in the Netherlands.
“You said there’d be fish,” complained Cassie through chattering teeth.
Henri answered without altering her stride. “And indeed there shall be. The freshest, most delicious fish you ever tasted.” She pointed at the small rise before them. “It won’t be long now, just over this hill.”
Reaching the top of the hill, the older cat stopped and waited for the kitten to catch up. A short distance away lay a frozen river and even at this early hour there were people ice skating on it. Out near the middle of the river were several sheds which sat on large sleds.

Henri gestured at the scene below. “Here we are.”
“I don’t see any restaurants down there.”
“Restaurant,” scoffed Henri, “today we shall be fishing for our breakfast.”
“But …” began Cassie before the larger cat held up a paw.
“I’ll explain when we reach the river,” she interrupted before continuing onward.
With an eye roll and a sigh, the little kitten followed.
On the river bank were several wooden benches. Henri placed the backpack on one before sitting down. Glad to get her feet out of the snow, Cassie jumped onto the bench as well.
“How are we supposed to fish with all this ice?” she asked.
Henri pointed towards the sheds sitting on the ice. “Thanks to my good friend Daisy, today we shall be ice fishing from one of those buildings. Below each one is a hole cut out of the ice.” She smacked her lips. “There’s nothing like cold water fish cooked as soon as you catch it.”
The little kitten had to admit that it sure sounded delicious, but still had some questions. “So how are we supposed to get out there?”
“Why we skate of course,” exclaimed Henri while extracting two pairs of ice skates from the backpack.
“But I don’t know how to ice skate.”
Henri smiled, “we’ll soon remedy that. There’s nothing that reveals the true gracefulness of cats better than ice skating.” Slipping on her ice skates, she stepped onto the ice. “Allow me to demonstrate.”
With a groan, Cassie realized that she’d once again fallen victim to one of Henri’s schemes to educate her. Curse her love of fish. Well, maybe I’ll get a laugh out of it, she thought considering how clumsy the older cat often was.
However, the little kitten couldn’t believe her eyes as Henri effortlessly began skating with leaps and spins thrown in. At the end she skated full speed towards Cassie, but with a mighty leap landed a few feet from shore and began spinning, her paws extended. Slowly, Henri brought her paws inward and spun even faster until she was a blur. At last, with a loud slap of metal on ice the spinning stopped and Henri stood there breathing heavily.
Advertisement

In spite of herself, Cassie couldn’t help but applaud. “That was wonderful,” she called out. “How’d you make yourself spin so fast?”
Henri bowed appreciatively. “Why physics of course.” Walking over, she retrieved the smaller pair of skates. “And now it’s your turn.”
At the mention of physics, the little kitten groaned inwardly. She also wasn’t so keen on the idea of learning to skate. However, the lure of fish is strong so Cassie put on the skates and stepped onto the ice.
She immediately fell. Henri picked her up. “I’ll hold onto you until you get the hang of it,” she assured Cassie. For about half an hour, the two of them moved gingerly around the ice with Henri showing the kitten how to move her feet and stop.
At last, Cassie was able to maintain her balance and started skating slowly across the ice. “Excellent,” encouraged Henri, who began skating at her previous furious pace. After all, she didn’t get to ice skate that often and wanted to take advantage of the opportunity.
As the older feline skated, a voice from the shore called out. ”Henri!” Turning her head to see the source of the greeting, Henri didn’t see where she was going. At the same instant, Cassie stopped. Unfortunately, the young kitten stopped right in Henri’s path and the larger cat smashed right into her.
Although neither fell, Henri’s speed dropped and Cassie shot across the ice faster than Henri had been moving. Screaming the entire way, the young kitten crashed head-first into a large snow bank on the shore. Henri rushed over and was soon joined by a large calico cat.

“Cassie!” cried Henri as the two cats dug into the snow bank. It didn’t take long until the small shivering kitten was in Henri’s arms.
“Let’s take her to my fishing shed,” offered the calico cat pointing at one of the nearby buildings.
It was a small building, but filled with welcome warmth from a small gas stove. In the center of the floor was a small round door. The two cats quickly removed Cassie’s wet clothing and gave her a mug of warm milk. Soon, the kitten’s teeth had stopped chattering and her shivering eased.
“I’m so sorry,” purred Henri. “Are you okay?”
Cassie nodded. “Yes, I am now. Where are we?”
Henri pointed to the other cat, “this is my friend Daisy and we’re in her fishing shed.”
The calico cat extended a paw, “glad to finally meet you Cassie.”
Cassie took the paw and gave a shy smile, “thanks for your help.”
Daisy gave a wide smile. “Well Cassie you still up for some fish?”
The small kitten sat up in excitement. “Oh yes please.”
Three fishing poles were retrieved and the round door on the floor opened. Beneath it was a dark hole in the ice into which the cats dropped their hooks. It didn’t take long until they’d caught enough fish for a fine breakfast. Daisy expertly cleaned and cooked the fish and the three cats ate their fill. And even after all she’d gone through, Cassie had to agree that it was indeed the best fish she’d ever tasted.
Advertisement

Poor Cassie. You have to wonder if she’ll ever ice skate again. Somehow I suspect she will because, after all, she is quite the plucky young kitten. Now let’s see if we can find the physics buried in today’s story.
Our Henri is full of surprises. Looking at her (please don’t call her fat), you’d never think that she could skate so well. And that part at the end where she made herself spin faster was quite the trick. Or was it? After all, Henri herself said it was due to physics.
It all begins with the concept of momentum which is a measure of how difficult it is to stop a moving object. The higher the momentum of an object, the more difficult it is to stop.
There are two kinds of momentum: linear momentum and angular momentum.

Since Henri is spinning, we want to look at angular momentum. Okay, we all know what mass is, but what’s a moment of inertia? Actually, the moment of inertia is treated very much like mass, except it’s for rotational motion. Because of this, the moment of inertia is not only a function of the amount of mass in an object, but its shape and the location about which it rotates.
Sure seems complicated doesn’t it. Let’s try and simplify it. Imagine you have a ball tied to a string and you want to swing it around your head. Your good friend (who always has to outdo you) does the same thing with three balls tied to a string. As you can see in the picture below, the moment of inertias are just a function of the mass of the balls and the distance from the center point.

So far so good, but what about something more complicated such as an ice skating cat. Actually the principle is the same, although the mathematics are much more involved. However, for our purposes we don’t really need to know Henri’s moment of inertia. All we’re concerned about is her paws.
Remember when Henri started spinning she held her paws out wide and then brought them in. That’s when she started spinning faster. Look back up at our equations for moment of inertia. It’s a function of the distance of the mass from the point about which it’s rotating. So when Henri brought her paws in, it reduced her moment of inertia.
Okay, so her moment of inertia went down. How in the world does that make her spin faster? Well there’s this little thing called Newton’s Second Law of Motion which states that the momentum of an object will not change unless an outside force is applied. Henri was just spinning there so no outside forces were acting on her. Therefore, her momentum has to remain constant.
We already saw that angular momentum is the moment of inertia multiplied by rotational velocity. Therefore, if Henri’s moment of inertia is reduced she has to spin faster to keep the same angular momentum. Once again physics prevails.

There was one more momentum related incident in our story, this time of the linear variety. Do you remember what it was? Yes, it was Henri crashing into poor Cassie. Did it seem strange to you that Cassie flew off at speed higher than Henri’s speed when he hit her?
What happened when Henri ran into Cassie is what physicists call an elastic collision. In this type of collision, the total kinetic energy (the energy you have when moving) of the system doesn’t change. We looked at this when Henri and Cassie visited the Eiffel Tower.
One note before we continue. Cassie and Henri live in that magical world of Physics where every bounce is true and energy losses are unknown.
In our feline collision, not only is the total kinetic energy conserved, but so is the linear momentum. Wait, doesn’t Henri crashing into Cassie count as a force? It does, but it isn’t an outside force since according to Newton’s Third Law (you know the equal and opposite one) it affects both Henri and Cassie equally so the net force is zero. As noted above, according to Newton’s Second Law (boy this guy puts his name on everything), without an external force, the momentum can’t change.
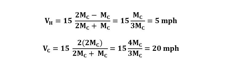
Using the conservation of kinetic energy and linear momentum, we can calculate the speed of each cat after the collision. (Warning: Scary looking equations ahead. Proceed at own risk.) There’s no initial velocity for Cassie since she was standing still.

Applying the dark art of algebra to these equations we can solve for Henri’s and Cassie’s final velocities after the collision. Aak! Help me Quadratic Equation Cat!

So the relationship between the initial and final velocities is only a function of the mass of the two colliding objects. Look at what the equation becomes if Henri and Cassie have the same mass (they don’t). Henri would just stop and Cassie would continue on with the Henri’s initial velocity. You’ve probably noticed this if you’ve ever played pool or crochet. One ball hits the other and stops while the second ball continues on. See, physics is applicable everywhere.
So is Cassie shooting off faster than Henri’s initial velocity possible? Let’s plug in some numbers and find out. First we’ll assume that Henri was moving at 15 mph when she hit Cassie. Now Henri is a somewhat private cat and wouldn’t want me revealing her weight. However, I don’t think she’d mind me saying she weighs twice as much as Cassie. Now let’s punch all these numbers into the Cat Computer and see what we get.

So clearly what happened in the story is entirely possible. If fact, as the mass of the colliding object becomes much larger than the stationary one (let’s say a thousand times heavier), the stationary object will move away at nearly twice the velocity at which it was hit. The larger object will see almost no velocity change. Magic you say, no it’s physics.
So we leave our feline friends enjoying a fine fish breakfast. It’s been quite an ordeal for little Cassie, but I think the fish cheered her up. One thing’s for sure though, if she ever skates with Henri again, she'll keep careful track of where Henri is.
Advertisement
- In Serial28 Chapters
Ringmaster's Ambition
Samuel Tuckerman, a retired therapist and nearing a hundred years old, decided to let the whole world know of his legacy. To leave an everlasting mark in this world, he surrendered himself to the authorities and brought with him mountains of evidence to prove his unbelievable claims. That he was the cause of thousands of disappearances all over the world. These evidence consisted of journals, videotapes, papers, and audio recordings of the last moments of all his victims, or so he claims. Initially met with skepticism, the authorities only saw him as a senile old man until testing out the validity of one of the records led to the discovery of the remains of a person. Upon finding out the legitimacy of the evidence Samuel provided, he was swiftly arrested and all other evidence was distributed to law enforcement all over the world to verify. When news of his deeds was made known to the entire world, all eyes were on him. This revelation led to numerous controversies that the governments of the world had no way to control. It showed the incompetence of law enforcement and the government. It inspired lunatics to try and be more brazen in committing atrocities. It sowed fear among the masses. Fueled conspiracies of collusion with foreign governments to suppress information regarding this matter. All these problems eventually resulting in a one day trial, where he was immediately pronounced guilty and was sentenced to death by publicly-broadcasted hanging. Although the various authorities of the world sought to set Samuel's execution as an example, what was broadcasted in the screens all over the world was not the dying struggles of an evil monster, but the satisfied smile of an old man. With his life coming to an end, he shall soon discover that his sins will lead to even greater consequences.
8 147 - In Serial7 Chapters
The Immortal
There was once a certain man who never died. When ancient trees withered, he flourished. When kingdoms, empires, and nations fell, he stood. When surrounded by immortals, he laughed. And when the world was gone, he remained. This is his tale. I take 0% credit for the title picture. I just pasted stuff together and did the best I could with a mac touchpad.
8 83 - In Serial27 Chapters
REALITY
You are stuck in an endless loop of life and death. Looking for an answer. Your journey will be long and it will be hard. But you must stay strong and overcome any obstacle in your path with help of your allies. But the main question is what lies at the end? Will you become the saviour or will you end it all?
8 199 - In Serial76 Chapters
BOUNDARY: LOW ORBITAL WARFARE
Civilization has tamed the final frontier. It is the year 2075, and the world is at the cusp of a new era. United, the once warring superpowers of Earth now work together to herald an unforeseen age of peace and prosperity, securing the future of humankind in the stars. The deadly orbital wars of yesteryear, fought by now defunct private military companies over the flow of priceless resources from the void, are nothing more than inconvenient memories of another era. Until now. A coalition of political terrorists, nations left behind by the expansion of humanity, and the final remnants of private military forces have begun their last stand against an uncaring universe. Against them: the newly formed Task Force 31 of the United Nation’s Solar System Defense Force. A band of misfits and irregulars brought together by an ailing Admiral on a legal technicality, the men and women of Task Force 31’s Marauder Team will sink neck deep into an orbital conspiracy that will threaten the very future of the human race. Now, the Boundary is a battlefield. Season One: Completed Season Two: In production...
8 198 - In Serial149 Chapters
Exsanguinate
Have you ever of heard of vampires? What about werewolves? Orcs, Elves, Goblins, and so on? What if I told you they all lived among us, we just can't see them. We aren't all so different really. Sure, we all have different kinds of food, art, music, and even magic; but we all bleed when we get hurt. Exsanguinate is an anthology series made up of different stories from different parts of the world. Orcs locked in a blood feud, demons killing for power, amnesiac vampires, drug addicted werewolves. One thing connects all of these stories, all of us, blood. We all bleed. Pick a book, and dive in. Book 1 - Jason has been excommunicated and is lost in Detroit with no skills other than killing vampires, werewolves and everything that goes bump in the night. Kaiden has recently been freed from a vampire's blood bank and is looking for a hero. Unfortunately, a group of Orcs has plans that include making sure they're both dead before Christmas. Santa can't help them, but maybe they can help each other Book 2 - Sierra is a woman on a mission to revive her dead husband through Voodoo, dark magic or anything that gets results. Rythe is a journalist and a Dark Elf that can no longer use magic because of his drug addiction, he's searching for a serial killer that nobody else seems to believe in. The two cross paths in a blood stained alleyway and head towards confrontation but something sinister lurks just out of sight. Book 3 - We've got an amnesiac vampire who can only seem to remember the love of his life and his nerdy pastimes, and all the trouble she brought him. Thieving no good Wererats, sociopathic vampires, cults, gangs, torture and a whole list of things he may have been better off forgetting. Join him as he attempts to retrace his steps and figure out how ended up staked in a burning building with no memory and no girlfriend, which might be for the best.
8 66 - In Serial10 Chapters
Heart Break
Well after the year she was supposed to go to the palace to find her mate, Kathleen finally arrives. Only, she's a chaperone for her younger sisters. By a twist of fate, with Kathleen run into her mate who she knows has finally move on?
8 329

