《The Way Ahead》Chapter 83b: Focus is Key
Advertisement
Edwin and Inion passed through several smaller villages on their route, usually one just a bit over a day’s travel from the prior. None were that spectacular, though, consisting of a few buildings and a tavern or inn (what was the difference?), usually with a marginally higher concentration of homes in its vicinity.
There were also lots of Curicnan way-shrines, and they passed one or two each day. Edwin was content with his current sleeping arrangement atop his carriage, though, and so didn’t bother using them. Sometimes, Inion would join him atop the roof, and the two would stargaze for hours until Edwin fell asleep. About half the time, she was still there when he woke up. It was… it was nice, to have her by his side.
If only humans could get along with him. Or, he supposed he’d accept other fey as friends, but there was no way he’d find another Inion.
Edwin kept himself busy, mainly experimenting with his Apparatus. Of all his new Skills, it was the one he was perhaps the most excited to really try out and experiment with. ‘Limits loosening’ as the level increased implied that he’d get the most benefit of any of his Skills from leveling it, too. Maybe he could make the crystal flexible at some point.
For now, though, Edwin had a simple, if ambitious, goal, and one that could be fairly powerful if he could manage it. He wanted to get a comprehensive list of Sapper’s Apparatus’s physical specifications. Refractive index for fun with light, density and tensile strength for building things, heat conductivity and capacity for fun with fire and insulation, electrical conductivity in case that ever came up, and more. That would take him more time than even he had right now, so he decided to focus his efforts on the more immediately practical quantities.
Starting off with optics, Edwin quickly found that he only half-remembered the required equations that he’d need to figure out the refractive index, so he had to re-derive most of them from scratch. In that whole process, Mathematics proved to be an utter lifesaver, and Numeracy helped a ton. Even still, he needed to use Almanac and Memory to avoid getting lost in the numbers. Matrix translations were no joke, even if the derivations themselves weren’t too bad, though far, far from trivial.
His plan was to make a lens out of his apparatus crystal, figure out what its focal length was, run some calculations based on the shape of the lenses and using the refractive index as the unknown, and solve from there. Normally, you knew the refractive index- glass was 1.5, water was 1.33, air was basically 1- and were trying to find the focal length, but the nice thing about math was it didn’t matter what your unknown was, so long as there was only one.
Edwin had at first tried to use the thin-lens optics equations, but his results were wildly inconsistent until he stumbled upon his problem- namely that his lenses weren’t infinitely thin. Trying to measure the refractive index by making a prism didn’t work- the light just exited a uniform bluish color that matched his crystal. That implied things, but he held his excitement until he could measure it more precisely.
He couldn’t calculate the refraction index just from the pyramid’s refraction either, sadly. The sorts of calculations needed required all sorts of tricky reference frame changes and angle calculations that Edwin wasn’t sure he wanted to tangle with.
It was hard enough for him to rederive the thick-lens matrix equations, he didn’t want to do any more work than he needed to.
Advertisement
So, Edwin now sat with an array of Apparatus crystal (he needed a better name for it than just that… he’d think of one eventually) rods, each as close to perfectly round and 1 centimeter in diameter as he could make them. Once he had numbers on the refractive index, he could do more work to figure out how precise he could make his Apparatus.
Thick-lens equations had been a colossal pain for Edwin once upon a time, but considering these days he could multiply two nine-by-nine matricies in his head thanks to Mathematics… it wasn’t so bad. It just involved three basic components: a term to account for the initial refraction, when light passed from the air into the lens, a translation term for how thick the lens was, and a term to account for the refraction out of the lens and back into the air.
Things got more complicated when multiple lenses got involved, or when you started including reflection terms, but he was keeping things simple for now. And that meant figuring out the initial ray-matrix for his light source of the sun. If he assumed it was infinitely far away, all of its light would be parallel, and by defining his axes properly he could…
Anyway.
Basically, he’d be running the calculation for a single ray of light with an angle of 0 radians at +0.5 centimeters, measure where it crossed the y-axis- namely, where the focal point of the rod was- and from there he could back-calculate what the refractive index was.
He cracked his knuckles and pulled up Almanac. This would be a lot of numbers.
Even Edwin’s eyes were glazing over by the time he finally got his equation in a half-readable state. He triumphantly looked over all he had accomplished as he did the final calculations…
….

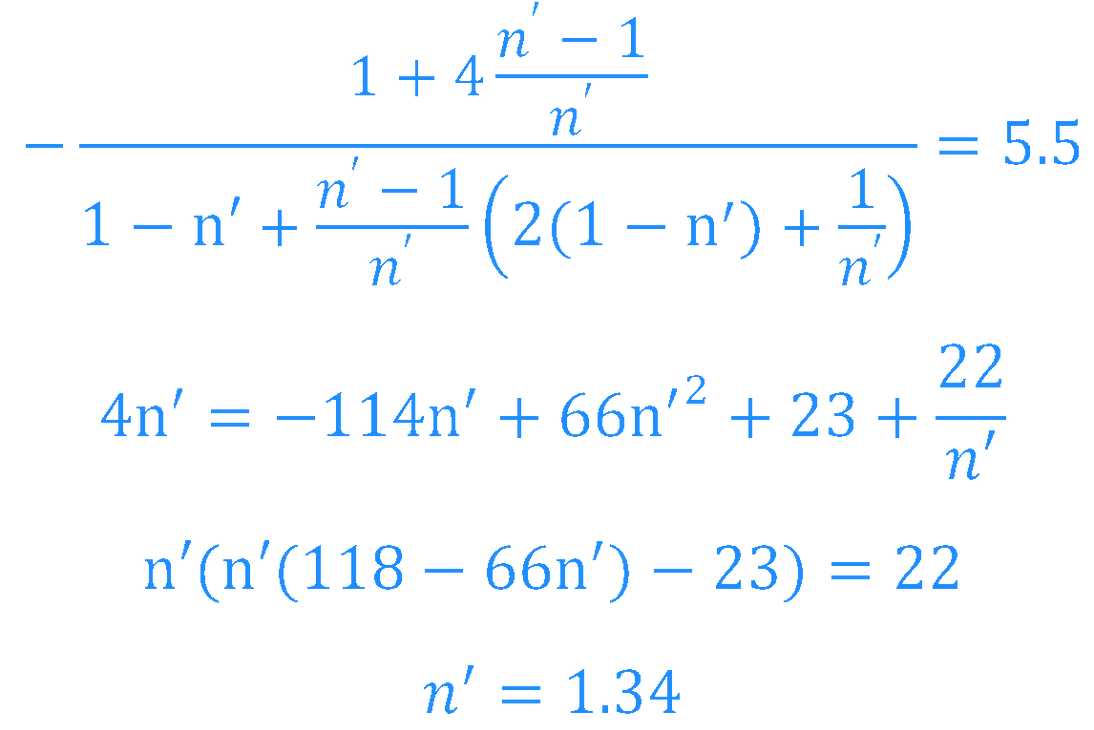
Which we can then substitute our values of y0 = .5 cm, L = 2 cm, n = 1, R = 1, yf = 0 cm, a0 = 0 for:
Solving for n’ gives: 

Wait, no. That didn’t make sense.
Edwin groaned as he looked to try and figure out where his mistake was. He shouldn’t have everything drop out so quickly. There was bound to be somewhere that the angle wasn’t supposed to cancel quite yet. He was confident his equations were correct- he’d double-checked them a ton of times with various situations he knew the answer to.
“Stupid magical math Skills, don’t even prevent me from making stupid mistakes. I swear, this was just like the actual class,” he muttered.
It took him another six hours before he finally got all his equations lined up properly, and had to use another set of formulae that would help him figure out the focal length from the matrix.
“And so then, the value of q is the distance from the closest point of the cylinder to where the focal point is- that’s where all the light is concentrated into a single line, see?- And q is A over C… no wait, that’s not right. Ah, minus A over C, with A being the top left value of the matrix, and C is…”
“Okay, okay!” Inion cut him off, “I get it!”
“You do?” Edwin was surprised, “Because it seemed like you weren’t a moment ago.”
“No, no. I get that I’ll never get this, and you can stop trying to explain what all this is about now.”
“But it’s so easy! Like, look, you don’t have to understand that diagram. All that matters is that by substituting q for what we measured, five and a half centimeters, and assuming the air has a refractive index of exactly 1, and that the rod’s diameter is two centimeters, we can figure out what n prime should be. See, like…”
Advertisement
“No! Nope!”
“It’s easy though!”
“You take your blight-shunned numbers away from me! I still don’t even understand what these decimal things are!”
“I thought you understood those? It’s just a representative number system. So like…”
“No!”
“But…”
“Go talk to Bill if you have to tell somebody! He’ll understand as much as I do!”
“Please?”
“No!”
…..
So hopefully somebody will eventually enjoy all of these, after nobody now seems to appreciate the finer points of Physics. Anyway, check OpticsFormulae for the component equations, and if you really must, OpticsDerivationIndex has records of calculating all of those equations from scratch. You’re welcome, future person who will likely never be reading this because you’d need to be Identifying the crystal that Sapper’s Apparatus creates. Or just looking at the page I make for it once I figure out what to call it, anyway.
Now I’m just rambling. Here’s the math.

L=2 cm, R = 1 cm, n = 1, n’=?, q = 5.5 cm

“Wait, isn’t that the same as water? That doesn’t seem right.” Edwin sat back as he did the last bit of math. To confirm, he quickly conjured two spheres, one filled with water and the other as a solid crystal. Sure enough, they had different focus lengths.
“Hmmm.”
His math didn’t seem to have any errors in it, after checking it several times over, which meant his measurements must have been off. He re-checked his measurement distances, finding his error quickly once Numeracy hit level 29. Focusing on it so much had raised it a ton, and it was already paying off.
“Ah. Not five and a half. Five point seven-five.”
“I’m still not listening!” Inion yelled from the top of the carriage.
“I’m not talking to you!” he called back, “I’m just talking to myself!”
“Good! You found the only person on Joriah who will listen, then!”
“Oh, go jump in your pond!”
“You go jump in my pond! ”
“Make me!” he yelled back.
Edwin patted Bill’s head, the pony having stayed calm throughout their entire exchange, “You wouldn’t get mad at me for talking, would you?”
His pack animal just flicked an ear in reply, and Edwin rolled back to stare at the sky, continuing to float in a fixed reference to the carriage. Okay, so he had the wrong focal length. How did fixing that change things….
Okay, so after re-running the numbers, it looked like apparatite, as he settled on, had a refractive index of 1.43. More than water, less than glass.
What was quite interesting, and quite frustrating, was that all light was bent equally by the crystal, and didn’t vary with wavelength. That meant he couldn’t make a diffraction grating or prism out of apparatite, but did mean he could…
Honestly, he didn’t know how he might be able to abuse that yet. But he’d figure it out at some point. Maybe there were some sort of fiber optic shenanigans he could get up to?
It wasn’t too much of a limitation, anyway, as he could just shove a bunch of water into an apparatite container and use that instead. He could even modulate the water’s refractive index slightly, by applying varying degrees of Improbable Arsenal to increase the density of the water inside, which he could probably use to figure out exactly how much of an increase Arsenal gave to the space it affected at some point, if there weren’t already much easier ways to accomplish that same task.
Density was significantly easier to figure out. Though Numeracy didn’t give him mass measurements, it did give him volume. Even still, copper coins weren’t terribly easy to estimate the volume of, unless he set up a displacement measurement system, which Apparatus made trivial.
Honestly, Outsider’s Almanac was having serious competition for the status of Edwin's favorite Skill these days. The ability to essentially 3D print anything he could imagine at will, out of a type of crystal, was just so darn amazing. He didn’t even have to worry about this one clogging or running out of filament!
Still, once he knew the volume of a given ager, it was trivial to convert it to mass- copper had a density of 8.96 g/cm3- and use the coins as weights to compare against his apparatite.
By making a scale- it took him a few tries to get it appropriately balanced, but he managed it in the end- he was able to take a 1 cubic centimeter block of apparatite and weigh it against his coins. It didn’t take long, though it did require mutilation of a couple coins, to find the density was 2.44 g/cm3.
Once he had density, tensile strength was similarly trivial to determine. He fashioned a thin rod of apparatite, half a centimeter in diameter, and put a small loop on the end, from which he hung several known-volume blocks of apparatite.
….
At a whopping 318 kilograms, the stress on the apparatite finally was enough, and it all gave way, sending his ever-growing collection of crystal blocks cascading across the ground. Some quick math, Edwin figured that the tensile strength of the stuff was a respectable 149 Mpa, which was about half the compressive strength of concrete. It would hold up to a lot of stuff, that was certain.
Edwin sat back, content as he finished filling out his personal Almanac page on apparatite. He didn’t have information on heat or electrical conductivity or capacitance yet, but those experiments could wait until he started exploring Basic Thermokinesis. His head hurt enough from the optics derivations he’d been doing for the past week, and he wanted a break.
“Okay, you can come out from hiding now.” He told the top of his carriage. A few seconds later, the drifting hair of Inion came into view as she peered over the edge.
“Are you actually done this time, or are you just pretending again?”
“Look, I keep telling you it wasn’t intentional! You just happened to say the perfect thing to get me unstuck from where I was at.”
“Uh huh. And that won’t happen this time?”
“No! I’m done. For now, anyway. I have all the basic info I can think of for apparatite. Refractory index, density, tensile strength-”
“Okay, that’s enough!”
“Wait, no! It was just…” Edwin trailed off as the fey fled back out of immediate earshot, “…those three.”
He sighed. Well, he shouldn’t be surprised that Inion couldn’t stand him getting really involved in physics and material science stuff. Nobody else could either, but he had vaguely hoped his ‘friend’ would be able to at least try to act interested.
Well, he shouldn’t have been surprised. Their interactions had been mainly on Inion’s terms, and he hadn’t had much of an opportunity to really show what his deep personality was like. No wonder she fled at the first opportunity when he started bringing it up.
Maybe he would be able to find someone in Panastalis who could appreciate the sort of work Edwin was doing with material science. A whole town of alchemists, or at least with a heavy alchemist focus. Surely someone there would be an aspiring chemist as well, right? Someone he could talk science with? He missed that sort of thing. Just being able to geek out with people… He hadn’t found a replacement yet. He kept hoping, though.
Well, he’d find out soon enough. He directed Bill off the main road, and the tireless pony turned off onto the wide dirt path leading into the forest. About half an hour later, a giant grin crept across Edwin’s face.
A massive tree dominated the area, its canopy hundreds of feet above them, casting the area in shadow. Beneath its leafy boughs ran a moderately-sized river which quickly vanished into a moss-covered hole in the ground, surrounded by a slew of wooden and stone houses, mossy and ivy in some places. In a couple of instances, houses were built directly onto the massive tree, massive roots or branches serving as bridges from the buildings on the tree to the rest of the village.
It looked like it had been ripped straight from a fairytale, and Edwin couldn’t stop smiling.
Panastalis. He’d finally made it.
Level Up!
Skill Points 543→573
Sapper’s Apparatus Level 32→37
Numeracy Level 27→32
Memory Level 59→60
Watchful Rest Level 15→18
Fresh Air Level 11→14
Flight Level 28→32
Improbable Arsenal Level 20→23
Longstrider Level 27→29
Arcadian Elixir Level 14→16
Outsider’s Almanac Level 129→130
Skillful Assessment Level 31→32
Congratulations! For reaching level 60 in a mental Skill, you have unlocked the Mentalist path!
Congratulations! For exploring the utility of a new substance in the creation of new devices, you have unlocked the Engineer path!
Congratulations! For deriving multiple optics equations from scratch, you have unlocked the Physicist path!
Congratulations! For understanding and explaining complex mathematics, you have unlocked the Mathematician path!
Congratulations! For thoroughly exploring the properties of a new material, you have unlocked the Material Scientist path!
Congratulations! For pushing the boundaries of what you know about your Skills, you have unlocked the Skill Researcher path!
Advertisement
- In Serial36 Chapters
An Unwavering Craftsman
Given the hereditary nature of classes, everyone expects Damien—the child of two high-tiered adventurers—to be granted a high-tier combat class of his own. Expectations are betrayed, however, when Damien finds himself instead saddled with a crafting class of the lowest possible tier: [Neophyte Tailor]. Left practically crippled compared to those with better classes, Damien wants to avoid becoming a pawn in the machinations of the nobility, desiring only to grind his level in peace while wondering why the usual rules of inheritance were broken. Was it his desire to excel by his own effort, rather than an unearned blessing from a god? Did the Five take offence at his opinions on the unfairness of hereditary classes? Or maybe it was something to do with the alien voice that intruded on his ceremony? A voice that offers great power, and freedom from the tyranny of the Five, but that never names its price. This story is litRPG-lite. While the class someone possesses controls most of their lives, people don't get dinged at for every level they gain, nor can they see their status without undergoing a special ritual. The MC has no romantic interest. Crafting is merely a way to game the system, and doesn't feature heavily in the story, aside from a few descriptions on how they're carrying out the system abuse. There is, on one unfortunate occasion, maths. The pace is quick. This was a participant in the Spring 2022 writathon. (i.e. it was posted as-written at high speed. I may give it another editing pass in the future.)
8 182 - In Serial18 Chapters
The Mystic Healer
With his clan declining quickly, Lance has no choice but to do what many experts choose not to, become a dual master; training as both a warrior and a mystic.Only by becoming stronger on a much harder journey, would Lance have the opportunity to not only assist his clan, but to take one step closer to immortality!
8 168 - In Serial44 Chapters
GREED : ALL FOR WHAT?
What if magic were real, how would our world be like? How would the biology of organisms be like? What would be our priorities? Would our values change? How would magic possibly work? How powerful would magic be? Is there a limit to the power that magic can give? Could the issue of equality and fairness be finally solved? Would our society be better for it?This book attempts to solve these questions and many others. It does not boast to have found the answers but you will not be left wanting in the great and magical world that has been envisioned. It is a world with a grand system of multiple universes.In a world with Gods, Demons, and Titans. Born as a high elf with arguably the highest affinity to mana in High Heaven Realm, Gehald, our MC isn't satisfied. With his inner demons awakened, he set out to achieve perfection. Gehald is power-hungry and ruthless, cold and calculating, determined and unwavering no matter the obstacles. But the world isn't so simple, the world wasn't made just for him, numerous others are have taken the same path as him, sometimes they would collaborate but most times they would clash. Even two demon kings cannot share the same level of the abyss, after all, the path of power is narrow, you could get pushed off by another and pay the price of defeat with your life. Gehald isn't a hero, and the world doesn't just hand things over to him.Why is his world the way it is? What could come from the unique fusion of the powers of Gods, Demons, and Titans in a single vessel? Follow Gehald on his thirst for power, alongside some other characters through their joys, tribulations, sorrows, and hard-won success. You might just find one or two answers.
8 79 - In Serial6 Chapters
Kingdom's And Armies
Summon into a different world. Declared as a hero to rescue the fate of the world from destruction.The hero finally defeats a violent, powerful enemy. Who dare to endanger the world. A boy who did his best to overcome any situation. To bring Safety and Peace for everyone. Now, finally returning back to give the news to a Ruler of the kingdom. Expecting a handsome reward. And to be with the girl that he deeply loves. But things turn unexpectedly and for the worse. When the ruler of the Kingdom and his friends and the girl he loves betray him. Declared as a threat to society. After the betrayal and being eliminated by the Rulers Knights. He wakes up in an unknown and a different fantasy world. And notice that he isn't a hero anymore. But a General now. That is, able to Spawn an Army and build a powerful military according to his rank. The more he levels up. The more soldiers increases. And the more he ranks up. He unlocks more soldiers from a different Era. From his own world. How would he use his new founded abilities for? For Good or for bad?
8 66 - In Serial48 Chapters
Surviving the Dead
A world where the dead go after the living is all he had ever known. Living with the rest of his family in a bunker, the boy is sure they are the last of their kind. But what happens when they come across a woman named Holly? Fourteen-year-old Forest Shepherd was born into the apocalypse. As hard as surviving already was, he also has epilepsy. Will he be able to survive with this condition, or will it one day be the death of him?
8 139 - In Serial86 Chapters
Poems Written By A Teenager
"These are the poems I made, For people who feel afraidPoems just for you,All of them are newSo accept my hand and read,To feel the tears I had shed."---#1 ranking in Personalthoughts#10 ranking in WorshipStarted: July 10,2020Ended: --
8 136

